[OM:QN] Capteurs quantiques utilisant des atomes de Rydberg

  • Contact: F. Goldfarb & F. Bretenaker

En étroite collaboration avec nos collègues de Thales Research & Technology à Palaiseau, nous avons monté une expérience de métrologie des champs de radiofréquence utilisant des atomes de Rydberg en cellule à température ambiante (voir la figure 1)

Cette expérience utilise l’extrême sensibilité aux champs RF des transitions entre niveaux de Rydberg, c’est-à-dire entre des niveaux proches du seuil d’ionisation. Elle utilise des protocoles d’interférence quantique utilisant des lasers pour fournir une mesure quantitative et traçable de l’amplitude du champ RF. De plus, le même montage permet de s’adapter à des fréquences RF allant du MHz au THz.&nbsp

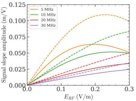
Parmi les résultats que nous avons obtenus, nous notamment proposé et mis en œuvre un protocole de mesure original, basé sur le transfert de la modulation de phase du faisceau de couplage au faisceau sonde qui permet d’augmenter significativement la bande passante de la mesure, comme le montre la figure 2.

Personnes impliquées à LuMIn : Duc-Anh Trinh, Mickael Branco, Gabriel Boccara, Mathias Polverino, Adwaith KV, Fabienne Goldfarb, Fabien Bretenaker

Collaborations : Thales, Univ. Stuttgart, ONERA, IEMN; SONDRA, Laboratoire Aimé Cotton Financements : ANR ASTRID CARDAMONE, Projet European Defense Fund ADEQUADE, PEPR QUANTIQUE CARAMELS, Quantum Saclay